Ripik.ai has been associated with IMFA since Jan 2023 towards implementation of Industry 4.0 in our Choudwar plant located in Odisha. They are working on two machine learning / data science use related to power and metallurgical coke consumption optimization through real-time alerts. The team has good knowledge in the areas of data science & machine learning, and their problem solving skill set is high
I have known Pinak, Arunabh and Navneet since 2017. They were part of Advanced analytics program in TSK between 2017 and 2020 and placed a crucial role in its delivery. The team worked end to end in conceptualization and delivery of the use cases across Blast Furnace, Sinter Plant and Steel Melt Shop.
Ripik.ai has been the analytics partner of Godrej & Boyce since March 2022. They have been doing projects with the Interio and Aerospace businesses already and we are exploring use cases for other businesses as well. Pinak and his team have worked with us closely on these manufacturing use cases. They have an unparalleled understanding of the process and can bring impact very quickly
I am delighted to write this testimonial about Ripik.ai, one of ESL’s analytics partner since January 2023. The Ripik.ai team is working on three use cases in our Upstream section at the Bokaro plant – Digital Twin of Blast Furnace, Burden Mix optimization in Blast Furnace and Green Mix optimization in Sinter Plant Burden Mix optimization in Blast Furnace and Green Mix …
Meet our elite squad - some of the brightest minds from Google, MIT, and IITs, pioneering the future at Ripik.AI.
Choose Ripik.AI for innovative Computer Vision AI Solution that drive operational excellence in manufacturing industries.
Join Ripik.AI where learning is more impactful, diversity inspires, and work-life harmony thrives.
Explore the latest breakthroughs, partnerships, and global recognitions shaping Ripik.AI's impact on industrial AI
Discover Ripik AI's latest event appearances showcasing cutting-edge AI solutions for manufacturing.
Tackle raw material variability and environmental challenges with accurate, real-time visibility.
Transforming Cement Manufacturing Operations with Our Patented Vision AI SaaS Platform for Process Optimization
Empower operators to precisely control bath temperature and significantly reduce power usage and AIF3 consumption.
Solve high impact use cases and maximize quality by identifying important parameters and sweet spot of operations.
Revolutionizing boiler operations with patented Computer Vision for higher productivity and lower energy costs.
Unlock efficiency and optimize processes across industries with our advanced, and intelligent AI technologies.
Ripik’s Vision AI Agents are your automated pair of eyes — developing intelligent monitoring agents for engineered industrial performance.
Move beyond number crunching and reduce process variability with an automated pair of eyes—our Vision AI platform
Let us walk you through a tailored demo experience.
Tackle raw material variability and environmental challenges with accurate, real-time visibility.
Transforming Cement Manufacturing Operations with Our Patented Vision AI SaaS Platform for Process Optimization
Empower operators to precisely control bath temperature and significantly reduce power usage and AIF3 consumption.
Solve high impact use cases and maximize quality by identifying important parameters and sweet spot of operations.
Revolutionizing boiler operations with patented Computer Vision for higher productivity and lower energy costs.
Unlock efficiency and optimize processes across industries with our advanced, and intelligent AI technologies.
Ripik.ai has been associated with IMFA since Jan 2023 towards implementation of Industry 4.0 in our Choudwar plant located in Odisha. They are working on two machine learning / data science use related to power and metallurgical coke consumption optimization through real-time alerts. The team has good knowledge in the areas of data science & machine learning, and their problem solving skill set is high
I have known Pinak, Arunabh and Navneet since 2017. They were part of Advanced analytics program in TSK between 2017 and 2020 and placed a crucial role in its delivery. The team worked end to end in conceptualization and delivery of the use cases across Blast Furnace, Sinter Plant and Steel Melt Shop.
Ripik.ai has been the analytics partner of Godrej & Boyce since March 2022. They have been doing projects with the Interio and Aerospace businesses already and we are exploring use cases for other businesses as well. Pinak and his team have worked with us closely on these manufacturing use cases. They have an unparalleled understanding of the process and can bring impact very quickly
I am delighted to write this testimonial about Ripik.ai, one of ESL’s analytics partner since January 2023. The Ripik.ai team is working on three use cases in our Upstream section at the Bokaro plant – Digital Twin of Blast Furnace, Burden Mix optimization in Blast Furnace and Green Mix optimization in Sinter Plant Burden Mix optimization in Blast Furnace and Green Mix …
Meet our elite squad - some of the brightest minds from Google, MIT, and IITs, pioneering the future at Ripik.AI.
Choose Ripik.AI for innovative Computer Vision AI Solution that drive operational excellence in manufacturing industries.
Join Ripik.AI where learning is more impactful, diversity inspires, and work-life harmony thrives.
Explore the latest breakthroughs, partnerships, and global recognitions shaping Ripik.AI's impact on industrial AI
Discover Ripik AI's latest event appearances showcasing cutting-edge AI solutions for manufacturing.
Ripik’s Vision AI Agents are your automated pair of eyes — developing intelligent monitoring agents for engineered industrial performance.
Move beyond number crunching and reduce process variability with an automated pair of eyes—our Vision AI platform
Let us walk you through a tailored demo experience.
Predictive modeling plays a crucial role in data science, empowering businesses to make data-driven decisions. However, the success of these models heavily depends on their accuracy. One widely used metric to evaluate the performance of a machine learning model is the Root Mean Square Error (RMSE) — a powerful tool for measuring prediction errors. RMSE measures the average difference between predicted and actual values, emphasizing its role in quantifying model accuracy.
In this blog, we will explore RMSE in detail, covering its definition, calculation steps, ideal ranges, and strategies to improve model performance. Whether you’re a data scientist or an industry professional, understanding RMSE is vital for developing accurate predictive models.
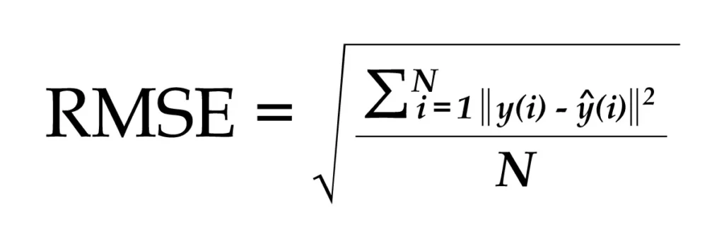
RMSE is a standard metric used to measure the average magnitude of errors between predicted and actual values. RMSE is closely related to Mean Squared Error (MSE), which is another important metric for evaluating model accuracy. It effectively penalizes larger errors by squaring them, making it particularly useful in applications where significant deviations must be minimized.
RMSE is commonly used in regression models because:
It effectively highlights large errors, which can be critical in fields like manufacturing, healthcare, and finance.
Unlike metrics such as Mean Absolute Error (MAE), RMSE amplifies outliers, making it ideal for scenarios where minimizing significant deviations is essential.
The formula for RMSE is as follows:
Where:
Actual Values: [5, 7, 10, 12]
Predicted Values: [4, 8, 9, 11]
Determining what qualifies as a “good” RMSE (Root Mean Square Error) value is not always straightforward. Since RMSE is an absolute error metric that reflects the average deviation between predicted and actual values, the interpretation of what constitutes a "good" RMSE depends heavily on the dataset's characteristics, data distribution, and industry-specific standards.
Instead of relying on a fixed threshold, RMSE should be assessed in context. Below are key factors that influence acceptable RMSE values and practical examples for various industries.
Dataset Size: Larger datasets often have greater variability, which can lead to higher RMSE values. In such cases, a slightly higher RMSE may still be acceptable if the model captures underlying patterns effectively.
Data Range and Scale: RMSE should be interpreted relative to the data’s magnitude. For instance, an RMSE of 10 may be acceptable for values in the thousands but significant for values in the tens.
Industry Benchmarks: Each industry has different tolerances for error. Predictive maintenance models in manufacturing may require tighter RMSE control compared to financial forecasting models, where some fluctuation is expected.
Manufacturing: Predictive maintenance models may aim for an RMSE below 5% of the target variable’s range to ensure accurate equipment monitoring.
Finance: Stock price prediction models may target an RMSE within 2% of the average stock value to account for market volatility.
Healthcare: Diagnostic models often strive for an RMSE below 3-5 units to ensure precise outcomes in sensitive medical predictions.
Reducing RMSE is essential for improving model accuracy. Here are key strategies to achieve this:
Data cleaning is crucial for improving RMSE, as data inconsistencies, errors, or noise can significantly affect model performance. Outliers, which RMSE penalizes heavily, can distort results by significantly affecting the squared error. Identifying and removing them using methods like IQR, Z-score analysis, or box plots can enhance accuracy.
Addressing missing data is equally important. Techniques such as mean/median imputation, forward filling, or predictive modeling help maintain data continuity and reduce RMSE. Improving data quality ensures more reliable model predictions.
Feature engineering enhances model performance by creating new features or transforming existing ones to capture complex data patterns. For instance, adding lag variables or moving averages in time-series forecasting can improve trend and seasonality detection, reducing RMSE.
Transforming variables using techniques like log transformations, polynomial features, or scaling can reveal hidden relationships, further improving predictive accuracy. Effective feature engineering directly contributes to achieving lower RMSE values.
Hyperparameter tuning plays a key role in improving model accuracy by adjusting parameters like learning rates, tree depths, or regularization strengths. Optimizing these settings helps balance model complexity, reducing both underfitting and overfitting.
Techniques such as grid search, random search, and Bayesian optimization effectively identify the best parameter combinations to minimize RMSE and enhance model performance.
Ensemble methods enhance prediction accuracy by combining multiple models like Random Forest, GBM, and XGBoost. By aggregating weak learners, these techniques improve robustness and reduce individual model weaknesses. This approach effectively captures complex data patterns, lowering RMSE and boosting performance, especially in noisy or variable data scenarios.
Cross-validation is a valuable method for evaluating model performance. In k-fold cross-validation, the dataset is divided into k parts, with the model training on k-1 folds and testing on the remaining fold. This process repeats k times to ensure every data point is assessed. By reducing overfitting and providing a reliable performance estimate, cross-validation helps identify the optimal model configuration to minimize RMSE.
Selecting the right evaluation metric is crucial for assessing model performance. While RMSE is widely used, other metrics like MAE and R-squared offer complementary insights. Understanding when to use each metric helps achieve more accurate and reliable predictions.
Root Mean Square Error (RMSE) and Mean Absolute Error (MAE) both measure prediction errors but have key differences:
When to Use:
R-squared (R²) measures the proportion of variance explained by the model, indicating how well the independent variables predict the target variable. While RMSE quantifies the size of prediction errors, R² highlights the model’s overall fit.
RMSE is best for understanding the actual error size in the same unit as the target variable.
R² is useful for assessing the strength of the relationship between variables.
When to Use:
Use RMSE to measure prediction accuracy directly.
Use R² to evaluate how well the model explains the variation in data. Combining both metrics offers a more comprehensive evaluation.
Root mean squared error (RMSE) combined with other metrics provides deeper insights into model performance:
Pair RMSE with MAE to assess both average error size and the impact of large deviations.
Combine RMSE with R² to understand both error magnitude and model fit.
Add metrics like Mean Absolute Percentage Error (MAPE) for percentage-based accuracy or Mean Squared Logarithmic Error (MSLE) for models dealing with exponential growth data.
By integrating multiple metrics, you can identify weaknesses, improve model robustness, and make informed decisions about performance improvements.
RMSE plays a crucial role in evaluating and improving predictive models across various industries. Its ability to measure prediction errors effectively makes it a valuable metric for ensuring model accuracy. Here’s a closer look at its applications in key sectors:
In manufacturing, RMSE is essential for enhancing predictive maintenance models. These models forecast equipment failures by analyzing sensor data, machine performance metrics, and historical maintenance records. Lower RMSE values indicate more precise predictions, enabling manufacturers to schedule maintenance proactively, reducing unplanned downtime and minimizing repair costs.
For instance, in steel manufacturing, predictive models that monitor furnace temperatures or conveyor belt speeds can use RMSE to assess their reliability. By reducing RMSE, manufacturers improve production efficiency and extend equipment lifespan.
In the finance sector, RMSE is widely used in credit scoring, fraud detection, and stock price prediction models. For example, stock market prediction models use RMSE to evaluate how accurately the model forecasts future prices. Given the volatile nature of financial data, models with a lower RMSE provide better risk assessments and more reliable investment insights.
In credit scoring, RMSE helps assess models that predict borrower default probabilities. A lower RMSE ensures financial institutions make better lending decisions, minimizing potential losses.
RMSE is crucial in healthcare models that predict patient outcomes, disease risks, or treatment effectiveness. For example, diagnostic models that forecast the likelihood of heart disease or diabetes use RMSE to evaluate prediction accuracy. A lower RMSE indicates a more precise model, helping healthcare professionals make informed decisions for timely interventions.
In personalized medicine, RMSE is applied to predict optimal drug dosages or treatment plans based on patient data, ensuring accurate and effective care.
E-commerce platforms rely on recommendation engines to enhance customer experience. RMSE is used to evaluate how well these systems predict user preferences. By lowering RMSE, recommendation engines improve the relevance of suggested products, boosting customer engagement and sales.
For example, an e-commerce model predicting which items a customer might purchase next can use RMSE to assess its recommendation accuracy. A lower RMSE indicates the system is effectively predicting customer preferences, improving user satisfaction.
Root Mean Square Error (RMSE) is a powerful tool for assessing model performance, especially in regression tasks where minimizing significant errors is crucial. By understanding its calculation, interpreting results appropriately, and applying strategies to reduce RMSE, data scientists and industry professionals can build more accurate predictive models.
Incorporating RMSE with complementary metrics like MAE and R² ensures a balanced evaluation, ultimately enhancing decision-making across industries. By leveraging these insights, you can achieve optimal model accuracy and unlock the true potential of your predictive systems.
Insights and perspectives from Ripik.ai's thought leaders
AI-Driven Productivity Tracking involves real-time monitoring of workflows, resources, machine performance,...
IR monitoring combined with vision systems are trained to identify complex patterns and subtle thermal...
Effective manufacturing process monitoring ensures operational excellence, product consistency, and proactive...
Machine health monitoring empowers maintenance teams to transition from reactive maintenance to condition-based...
As businesses scale and diversify, the demand for greater efficiency, minimal downtime, and enhanced...
AI in the mining industry is not merely a trend; it’s a necessity. With vast operations often spread...
Discover how AI is transforming plant uptime in manufacturing by enabling predictive maintenance, real-time...
Agentic AI in manufacturing operations are designed, executed, and optimized. These systems act autonomously,...
Root Mean Square Error (RMSE) is a widely used metric that measures the average magnitude of prediction...
The blast furnaces steelmaking process is a complex and requires precise control over various parameters....
AI platforms for anomaly detection are transforming a wide range of industries by leveraging advanced...
The role of AI in enhancing energy efficiency in cement plants particularly in fuel Consumption is significant...
Vision AI agent operate through a structured pipeline involving perception, analysis, decision-making,...
Particle size analysis plays a critical role in heavy industries such as cement, mining, steel, and power...
Conveyor volume scanners are revolutionizing stockpile management by providing precise, real-time data...
AI agents are revolutionizing businesses by automating processes, improving decision-making, and optimizing...
Vision AI is an advanced artificial intelligence-powered system that uses computer vision to interpret...
Automating stockpile volume measurement with Vision AI and LiDAR for industries such as mining, cement,...
Agentic AI applications in manufacturing can optimize production lines, predict equipment failures, and...
As industries continue to evolve and demand higher levels of productivity, the adoption of computer vision...
Accurate raw material moisture analysis plays a pivotal role in industrial operations, directly influencing...
Eliminating downtime in cement plants is no longer a distant goal but a tangible reality with the adoption...
Optimizing cloud architectures for cost-effectiveness is the major goal of such an architecture. The...
Computer vision technology is a replica of human vision by enabling machines to "see" and analyze images...
AI is nowadays playing a pivotal role in contributing towards the reduction of the carbon footprint in...
Incorporating computer vision into factory operations will unlock several new opportunities for efficiency,...
Alternative fuels, such as Refuse-Derived Fuel (RDF), a type of solid waste, are increasingly being considered...
Discover how Vision AI, a cutting-edge technology, surpasses traditional ML models to optimize manufacturing...
Integrating AI in the cement industry is a much-needed breath of fresh air. We’re on the brink of a new...
Research by Nature claims that artificial intelligence can contribute to fulfilling 79% of the target...
The powerful combination of artificial intelligence and cutting-edge vision AI systems presents a breakthrough...
Learn how AI-driven preventive maintenance minimizes equipment downtime in heavy manufacturing. Boost...
Computer Vision AI is changing Asset Performance Management (APM) by enabling real-time monitoring and...
Coal moisture detection ensures that coal is at the right moisture level for optimal burning to enable...
Enhance Electric Arc Furnace efficiency with real-time monitoring and advanced visual analytics. Track...
The integration of Vision AI into cement kiln operations presents a transformative opportunity for manufacturers...
Real-time, automated refractory monitoring is a game-changer for high-temperature industries, providing...
Computer vision is revolutionizing machine monitoring system as it is crucial for optimal performance...
With the boom of AI in the manufacturing sectors, predictive maintenance with AI has arrived as a game-changing...
Computer vision AI platforms are instrumental in these advancements, offering precise 24/7 monitoring,...
For more information on how Ripik.ai can help your organization reduce cloud compute costs and optimize...
Computer Vision AI is a transformative technology poised to redefine production monitoring systems, contributing...
Anomaly detection in manufacturing is a critical component of maintaining product quality, ensuring operational...
Computer Vision AI Platforms have emerged as a game-changer in the manufacturing sector, revolutionizing...
AI-Driven Productivity Tracking involves real-time monitoring of workflows, resources, machine performance,...
IR monitoring combined with vision systems are trained to identify complex patterns and subtle thermal...
Effective manufacturing process monitoring ensures operational excellence, product consistency, and proactive...
Machine health monitoring empowers maintenance teams to transition from reactive maintenance to condition-based...
As businesses scale and diversify, the demand for greater efficiency, minimal downtime, and enhanced...
AI in the mining industry is not merely a trend; it’s a necessity. With vast operations often spread...
Discover how AI is transforming plant uptime in manufacturing by enabling predictive maintenance, real-time...
Agentic AI in manufacturing operations are designed, executed, and optimized. These systems act autonomously,...
Root Mean Square Error (RMSE) is a widely used metric that measures the average magnitude of prediction...
The blast furnaces steelmaking process is a complex and requires precise control over various parameters....
AI platforms for anomaly detection are transforming a wide range of industries by leveraging advanced...
The role of AI in enhancing energy efficiency in cement plants particularly in fuel Consumption is significant...
Vision AI agent operate through a structured pipeline involving perception, analysis, decision-making,...
Particle size analysis plays a critical role in heavy industries such as cement, mining, steel, and power...
Conveyor volume scanners are revolutionizing stockpile management by providing precise, real-time data...
AI agents are revolutionizing businesses by automating processes, improving decision-making, and optimizing...
Vision AI is an advanced artificial intelligence-powered system that uses computer vision to interpret...
Automating stockpile volume measurement with Vision AI and LiDAR for industries such as mining, cement,...
Agentic AI applications in manufacturing can optimize production lines, predict equipment failures, and...
As industries continue to evolve and demand higher levels of productivity, the adoption of computer vision...
Accurate raw material moisture analysis plays a pivotal role in industrial operations, directly influencing...
Eliminating downtime in cement plants is no longer a distant goal but a tangible reality with the adoption...
Optimizing cloud architectures for cost-effectiveness is the major goal of such an architecture. The...
Computer vision technology is a replica of human vision by enabling machines to "see" and analyze images...
AI is nowadays playing a pivotal role in contributing towards the reduction of the carbon footprint in...
Incorporating computer vision into factory operations will unlock several new opportunities for efficiency,...
Alternative fuels, such as Refuse-Derived Fuel (RDF), a type of solid waste, are increasingly being considered...
Discover how Vision AI, a cutting-edge technology, surpasses traditional ML models to optimize manufacturing...
Integrating AI in the cement industry is a much-needed breath of fresh air. We’re on the brink of a new...
Research by Nature claims that artificial intelligence can contribute to fulfilling 79% of the target...
The powerful combination of artificial intelligence and cutting-edge vision AI systems presents a breakthrough...
Learn how AI-driven preventive maintenance minimizes equipment downtime in heavy manufacturing. Boost...
Computer Vision AI is changing Asset Performance Management (APM) by enabling real-time monitoring and...
Coal moisture detection ensures that coal is at the right moisture level for optimal burning to enable...
Enhance Electric Arc Furnace efficiency with real-time monitoring and advanced visual analytics. Track...
The integration of Vision AI into cement kiln operations presents a transformative opportunity for manufacturers...
Real-time, automated refractory monitoring is a game-changer for high-temperature industries, providing...
Computer vision is revolutionizing machine monitoring system as it is crucial for optimal performance...
With the boom of AI in the manufacturing sectors, predictive maintenance with AI has arrived as a game-changing...
Computer vision AI platforms are instrumental in these advancements, offering precise 24/7 monitoring,...
For more information on how Ripik.ai can help your organization reduce cloud compute costs and optimize...
Computer Vision AI is a transformative technology poised to redefine production monitoring systems, contributing...
Anomaly detection in manufacturing is a critical component of maintaining product quality, ensuring operational...
Computer Vision AI Platforms have emerged as a game-changer in the manufacturing sector, revolutionizing...
A powerful suite of intelligent agents working in sync to transform manufacturing with speed, precision, and autonomy.
Industries
Products
Support
Client Stories
Resources